Study population This was a retrospective cohort study with patients followed longitudinally. We used electronic health record and associated administrative data from January 1, 2004, through December 31, 2018. The two study cohorts were comprised of patients 65 years or older at the start of enrollment, including VA patients who were dually enrolled in Medicare […]
Read MoreCategory: Health News
Disconnect between advanced diabetes technology and psychological well-being among young people: a cross-sectional analysis
Discussion The aim of this survey was to examine how AYA experience the use of diabetes technologies in real-life settings. The focus was on PROs, as these are particularly important to the everyday life and well-being of this age group. As in other studies,11 the use of AID systems was associated with improved glycemic control […]
Read MoreCombination therapy with sodium-glucose cotransporter 2 inhibitors and glucagon-like peptide-1 receptor agonists in heart failure patients with type 2 diabetes
Methods Study population We conducted a multicenter, retrospective observational study using TriNetX (TriNetX, Cambridge, Massachusetts, USA), a global healthcare data and analytics platform. The TriNetX platform provides real-world data analysis using electronic health records (EHR) for more than 250 million patients from 130 healthcare organizations across North America, South America, Europe, the Middle East, Africa, and […]
Read MoreSex-specific protective role of lower-body fat in type 2 diabetes: mediation through insulin resistance in a BMI-matched population
Discussion By meticulously matching participants for age, sex, and BMI, we minimized the confounding effects of these variables, thereby isolating the unique contribution of regional fat and muscle to diabetes pathogenesis. Our study provides novel insights into the sex-specific associations between body composition and diabetes risk. The negative association between lower limb fat mass and […]
Read MoreAssociations between perceived stress and glycemic measures: gender and age as moderators
Discussion Understanding the associations between perceived stress and glycemic measures—and how these associations vary by gender and age—is important for developing targeted strategies to prevent the onset and progression of prediabetes. In our study, higher levels of both perceived helplessness and perceived self-efficacy were associated with a lower prevalence of prediabetes and lower 2h-PG levels […]
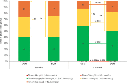
Read MoreRapid improvements in glycemic management with use of continuous glucose monitoring in adults with type 2 diabetes treated with basal insulin: 3-month analysis of the MOBILE study
Conclusions This analysis of data from the MOBILE study demonstrates that use of CGM results in a rapid improvement in TIR and other CGM metrics reflective of hyperglycemia in adults with T2D on basal insulin without prandial insulin. These improvements were sustained over 3 months and resulted in clinically significant improvements in glycemic outcomes with […]
Read MoreSemaglutide and diabetic retinopathy: an OHDSI network study
Discussion In this retrospective cohort study across 14 databases in the OHDSI Evidence Network, there was no increased risk for either PDR or treatment-requiring DR/DME comparing semaglutide with other GLP-1RAs or non-GLP-1RAs. In the primary active-comparator new-user cohort analysis, there was evidence of a lower risk of PDR when comparing second-line use of semaglutide with […]
Read MoreLong-Term Melatonin Use Linked to Cardiovascular Risk
Share on PinterestA new study raises concerns over long-term melatonin use and cardiovascular risks. Viktoriya Skorikova/Getty Images Researchers say people with insomnia who use melatonin supplements for more than a year have a higher cardiovascular disease risk than people with insomnia who don’t use the sleep aid. Experts say the research raises some important questions, […]
Read MoreMen Need Twice As Much Exercise As Women to Lower Risk
Share on Pinterest A new study found that men need more exercise than women to lower their risk of coronary heart disease. Getty Images/Cavan Images Men may need nearly twice as much weekly exercise as women to achieve the same heart health benefits. A study of over 85,000 people found that females achieved greater reductions […]
Read MoreDo Unused Period Pads Contain Mold? What Experts Say About Viral Video
Share on PinterestPictures of dark spots in period products are circulating on social media, but experts say it’s unlikely to be mold. Hazal Ak/Getty Images Some TikTok and social media users have posted images and videos of dark, spotted patches inside unused pads, sparking concerns around potential mold contamination. Health experts say this discoloration is […]
Read More